Caméra Uranus-M Pro refroidie monochrome (IMX585) - Player-One
La ligne de caméras refroidies spécialisées pour le ciel profond de Player-One est la ligne de produits la plus avancée dans l’histoire de la marque. Ils ont commencé ce projet en 2021, à travers de nombreuses modifications et reconstructions successives dans une recherche permanente d’optimisation, de qualité et de fiabilité. Ils sont enfin parvenus à réaliser cette version finale.
Pierro-Astro’ est très fier de présenter cette ligne de caméras qui nous paraît comme très aboutie et une nouvelle marque de qualité pour les astronomes les plus exigeants.
En Bref :
- Capteur Sony IMX585 Monochrome
- Haute résolution de 8,3 millions de pixels (3856×2180) avec des pixels de 2,9 µm
- Idéal pour tous types d’instruments : lunettes APO, Hyperstar, Celestron Faststar, télescopes Newton, etc.
- USB 3.0 avec connecteurs Type-C pour un téléchargement rapide
- Mémoire tampon 512 Mo DDR3 pour un transfert de données stable avec USB 2.0 - minimise la décharge de l’amplificateur
- Refroidissement avec module Peltier (TEC) puissant refroidissant jusqu’à -40°C sous la température ambiante
- L’un des capteurs CMOS monochromes les plus sensibles de Sony
- Hublot en verre avec traitement anti-reflets avec chauffage ajustable anti-buée
- Distance filetage M42 (filetage femelle) au capteur de la caméra : 17,5 mm (avec bague anti-tilt)
- Haute sensibilité - QE environ à 91% - Caméra d’astronomie idéale pour les objets faiblement éclairés
- ADC 12 bits
Design à la pointe de la technologie
La caméra refroidie Uranus-M Pro utilise le même design que la série refroidie Ares ! Avec un corps rond, une palette de couleurs rouge et noire classique et l’utilisation de fibre de carbone pour réduire le poids et offrir des perspectives de pointe. Elle possède une plaque inclinable intégrée au capteur et une carte PCB anti-rosée. Cette série de designs rend la caméra non seulement légère et esthétique, mais aussi fonctionnelle et ultra-efficiente.
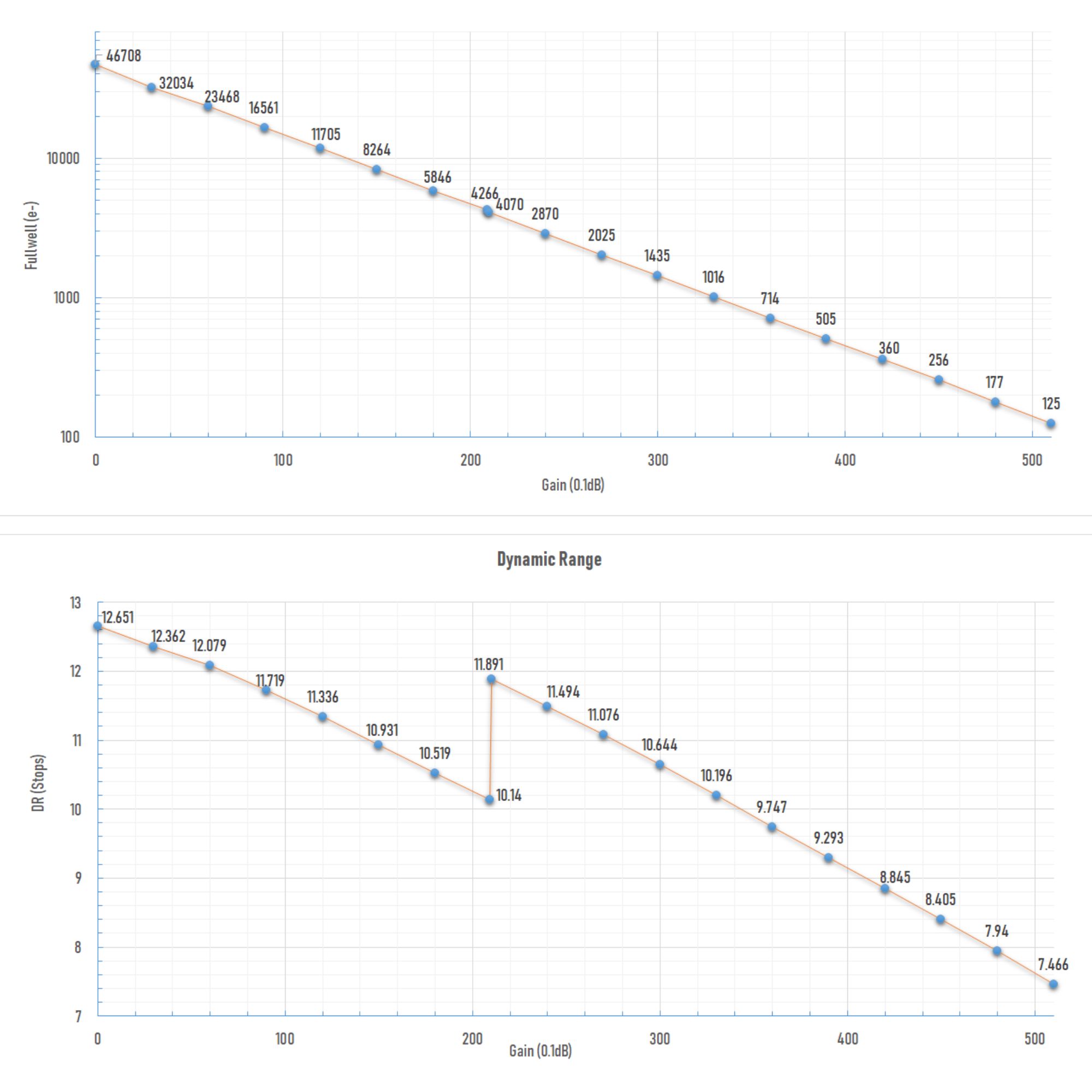
La caméra refroidie Uranus-M Pro (IMX585) est développée par Player One Astronomy et conçue pour l’imagerie avancée des objets du ciel profond (DSO). Elle adopte le capteur monochrome Sony IMX585 au format 1/1,2”. La taille du pixel est de 2,9 µm. Chaque pixel offre une capacité électronique (full-well) de 47Ke avec un total de 8,3 MP (résolution de 3856×2180 pixels) et une diagonale de 12,85 mm.
Platine anti-tilt à 3 Points ou 4 points avec réglage par l’arrière
Lors de la prise de vue d’objets du ciel profond, la plaque d’inclinaison du capteur peut être utilisée pour ajuster l’angle du capteur afin d’améliorer la forme des étoiles aux bords du champ. La caméra Uranus-M Pro fournit à la fois une plaque inclinable avant et arrière pour répondre à tous les scénarios d’utilisation.
La plaque d’inclinaison avant 3P est installée par défaut et convient à la majorité des setups d’imagerie. Elle fonctionne bien dans de nombreux scénarios standards.
La plaque d’inclinaison arrière 4P est une pièce alternative utile lorsque vous utilisez une roue à filtres, un tiroir à filtres et un OAG avec un angle fixe. Elle est également très pratique pour les utilisateurs de RASA, car elle permet un réglage précis de l’angle du capteur.
Le tampon d’ombrage en mousse haute densité intégré bloque efficacement toute fuite de lumière latérale.
Refroidissement efficace et performant
La série de caméras refroidies Player One utilise une unité de refroidissement TEC à 2 étages. Grâce à un système de dissipation thermique amélioré, le Delta-T de la caméra peut atteindre plus de 40°C en dessous de la température ambiante.
Dans l’interface ASCOM, l’utilisateur peut régler :
- La température cible (stabilisation thermique)
- La vitesse du ventilateur (pour minimiser les vibrations)
- La puissance du chauffage anti-buée
Chauffage anti-buée intégré
Le problème de la rosée et de la buée est un enjeu majeur en astrophotographie. Player One a intégré un hublot chauffant réglable, permettant d’éliminer la condensation sans affecter la qualité d’image.
- Paramètre Valeur recommandée
- Delta-T standard 35-40°C en dessous de la température ambiante
- Température ambiante testée 30°C
- Vitesse du ventilateur 50-100% (ajustable)
- Puissance du chauffage anti-buée 10-20%
Contrairement aux modèles ZWO équivalents, le hublot chauffé est un avantage majeur, permettant d’éviter tout problème de buée sur le capteur, notamment lors des nuits froides et humides.
512 Mo de cache DDR3
Le cache DDR3 des caméras refroidies a été augmenté à 512 Mo (au lieu des 256 Mo habituellement constatés sur le marché), ce qui améliore significativement la stabilité et la fluidité des transferts de données. Cette augmentation permet d’éviter efficacement les pertes d’images et de réduire considérablement le bruit de lecture. Grâce à cette mémoire cache, la caméra ne dépend plus d’un ordinateur puissant et fonctionne de manière optimale même avec un port USB 2.0.
Technologie STARVIS2
La caméra Uranus-M Pro est basée sur la technologie Sony STARVIS2, qui repose sur des pixels rétro-éclairés améliorant significativement la sensibilité dans des conditions de faible luminosité.
Pas d’effet "Amp-Glow" !
La caméra refroidie Uranus-M Pro est une caméra No-"Amp-Glow". Son dark frame (exposition 300s, gain 0, offset 10, temp -10°C, STF auto-Stretch dans PixInsight 1.86) montre une image parfaitement propre sans artefacts lumineux.
Port USB Type-C et port d’alimentation
La caméra refroidie dispose de 2 ports de données USB Type-C et d’un port d’alimentation 12 V DC 5,5×2,1 mm standard. Le port principal USB3.0 permet d’atteindre une cadence de 47 images par seconde en mode RAW8. Le port Type-C facilite le branchement de nuit et garantit une meilleure durabilité par rapport au port USB-B. Le système de refroidissement TEC nécessite une alimentation 12 V DC (3 A max) pour fonctionner, mais si vous ne souhaitez pas activer le refroidissement, la caméra peut être utilisée en mode planétaire sans alimentation externe.
Protection contre les surtensions et les surintensités :
Les caméras Player One sont dotées de mécanismes de protection électroniques contre les surtensions et les surintensités, garantissant la sécurité de votre matériel.
Courant d’obscurité
Le courant d’obscurité de la Uranus-M Pro est remarquablement bas, ce qui assure une image propre même en poses longues.
- Température du capteur Courant d’obscurité
- 0°C 0,005 e⁻/s/pixel
- -20°C 0,0004 e⁻/s/pixel
Sur toute la courbe de température, le courant d’obscurité reste linéaire et extrêmement faible, garantissant une stabilité de performance exceptionnelle, notamment pour l’imagerie longue pose en ciel profond.
Bruit de lecture
Le bruit de lecture de la caméra Uranus-M Pro est extrêmement faible, garantissant une qualité d’image optimale, même en longue pose.
Player One annonce des valeurs obtenues par des tests réels, et chaque utilisateur peut vérifier ces résultats avec SharpCap 4, grâce à la fonction Sensor Analysis.
- Gain faible (0) 6,5 e⁻
- Gain moyen (210) 1,0 e⁻
- Gain élevé 0,7 e⁻
Un bruit de lecture extrêmement bas permet de capturer des détails fins avec un rapport signal/bruit optimal, et réduit la nécessité d’empiler de nombreuses images pour obtenir un bon signal.
Note : La notice est téléchargeable via un lien situé sur votre facture. La facture se trouve en ligne sur votre compte client. Ce lien s'activera une fois votre commande validée et expédiée, vous permettant de télécharger la notice autant de fois que souhaité. Ce lien est nominatif et crypté et ne fonctionne que lorsque vous êtes connecté au site Pierro-Astro' avec votre compte client et que votre commande est expédiée. Les notices ne doivent pas être diffusées, vendues, copiées vers des tiers sans la permission explicite de Pierro-Astro'.
- Capteur SONY IMX585 1/1.2” CMOS (Monochrome)
- Diagonale 12,85 mm
- Nombre total de pixels 8,3 MP
- Résolution maximale 3856×2180
- Taille des pixels 2,9 µm
- Format 1/1,2”
- Taux de rafraîchissement 47 FPS (10 bits)
- Obturateur Rolling shutter
- Plage d’exposition 32 μs - 2000 s
- Bruit de lecture 6,5 - 0,7 e
- Full-Well 47Ke
- QE Peak ≈91%
- ADC 12 bits
- Système de refroidissement TEC à 2 étages
- Tirage interne 17,5 mm
- Poids 420 g
Éléments livrés
- Caméra Uranus-M Pro avec son bouchon
- Tube allonge M48 (17,5 mm)
- Tube allonge M42 (20 mm)
- Bague réductrice M48 vers M42
- Câble USB 3.2 Type-A vers Type-C
- Câble USB 2.0 Type-C vers Type-C
- Câble USB 2.0 Type-C vers Type-B
- Poire soufflante anti-poussière
- Clé Allen et jeu de visserie
- Sacoche de rangement
- Pilotes et logiciels à télécharger : http://player-one-astronomy.com/service/software/
- Manuels à télécharger : http://player-one-astronomy.com/service/manuals/
- (un manuel en français sera fourni avec la caméra)
- Tutoriel d'utilisation (en anglais) : Cliquez-ici !
Il n'y a pas encore de commentaire sur ce produit.
Veuillez vous identifier pour poster un commentaire. Connexion




























-14870-p_350x350.jpg)







Paiements CB en ligne sécurisés !
1x, 3x ou 4x sans frais par 